صفحه محصول - حل تمرینات بازار برق کرشن (تجدید ساختار) - 54 صفحه - pdf

منبع کتاب مبانی اقتصادی سیستم قدرت ( ترجمه دکتر حسن منصف )
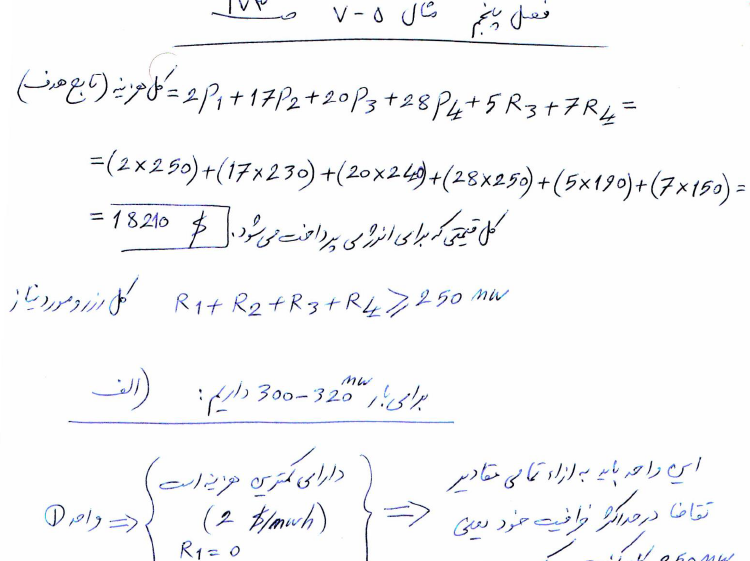
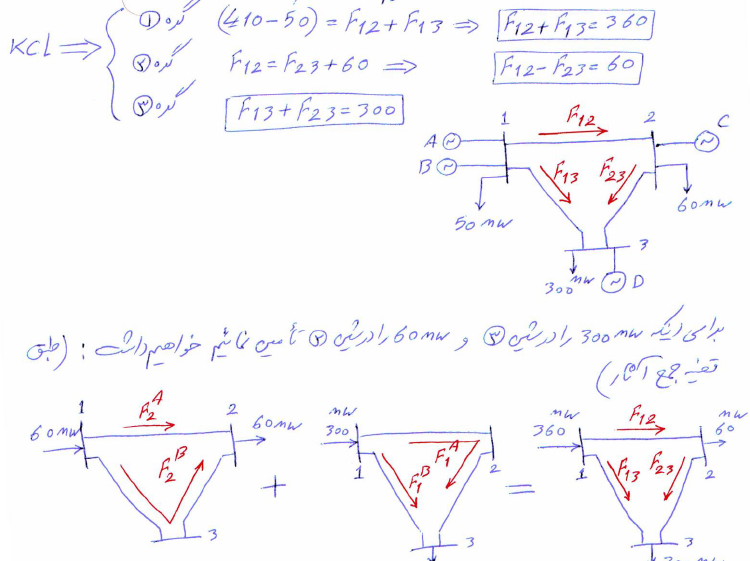
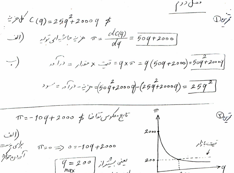
حل مثالها و تمرینات پایان فصل با ذکر جزئیات
فرمولهای مهم و کاربردی هرفصل دسته بندی شده و فقط به مثالها و تمرینات مطروحه در امتحانات پایان ترم پرداخته و جزئیات مورد نیاز برای حل هر تمرین با توضیحات کامل در طی مراحل آورده شده است.
در ضمن فصولی همانند 1 که به تعاریغ می پردازد نادیده گرفته شده است.
برای بازکردن فایل نیاز به نرم افزارهای زیر دارید :RARZIP
pdf

فایل های دیگر این دسته

مجوزها،گواهینامه ها و بانکهای همکار

پروژه اماده-فایلستان دارای نماد اعتماد الکترونیک از وزارت صنعت و همچنین دارای قرارداد پرداختهای اینترنتی با شرکتهای بزرگ به پرداخت ملت و زرین پال و آقای پرداخت میباشد که در زیـر میـتوانید مجـوزها را مشاهده کنید